Lên Lớp
  • | Liên hệ học thêm
  • | Facebook
  • | Góp ý

Đề kiểm tra cuối học kỳ 1 Toán 10 năm 2021 – 2022 sở GD&ĐT Quảng Nam

by OldGame tháng 7 02, 2020

 


Tags: toan-10-hk1
OldGame

Người đăng: OldGame

Bạn có thể thích những bài đăng này

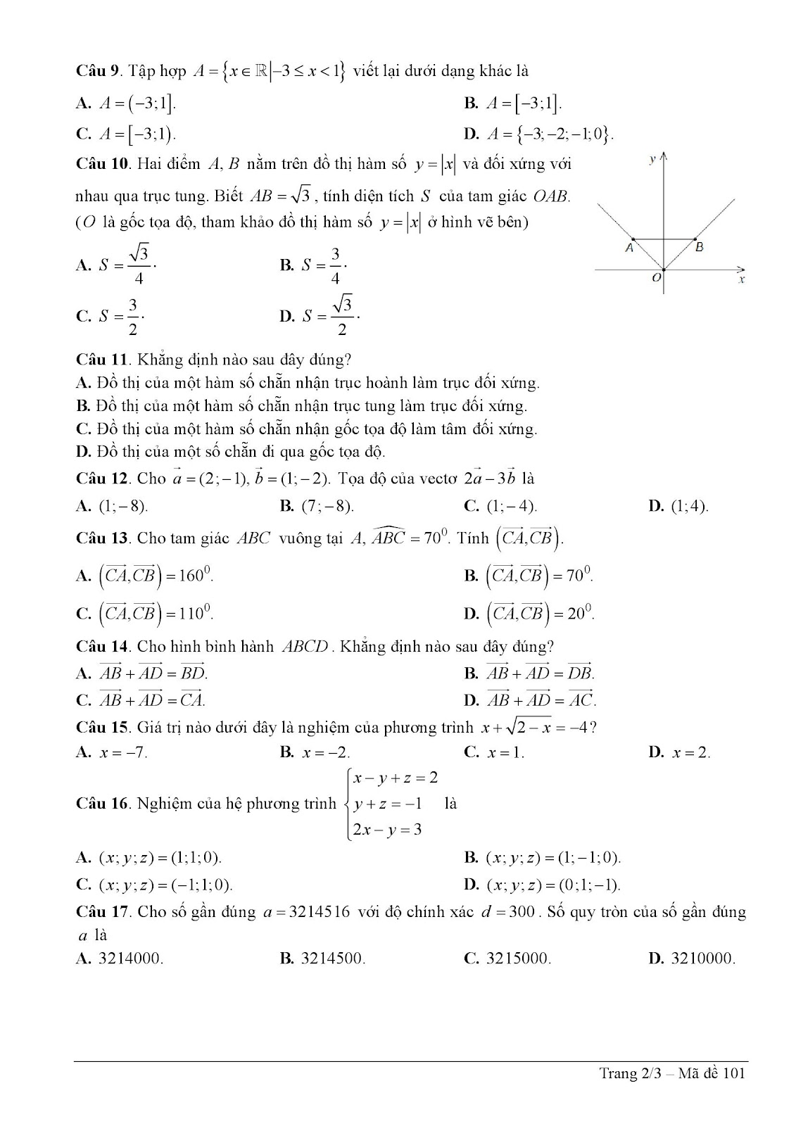
0 Nhận xét

Tìm kiếm Blog này

Được tạo bởi Blogger
Created By Blogger Templates | Distributed By Gooyaabi

Contact form